8th Grade Algebra Worksheets
Equations Pre Algebra Worksheet Pre Algebra Worksheets Algebra
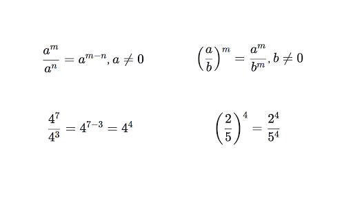
Pre Algebra Worksheets Equations Worksheets
Math Worksheets For Grade 8 7th Grade Standard Met Working With
Best 20 Pre Algebra Worksheets You Calendars
Pre Algebra Worksheets Equations Worksheets
Pre Algebra Worksheets Algebraic Expressions Worksheets
8th Grade Math Worksheets Algebra Google Search Distributive
Math Worksheets For Grade 9 Algebra Algebra Practice Worksheets
Eureka Math Grade 8 Algebra Transindobalon Com
Algebra Worksheets For Simplifying The Equation Algebra
Math U See Pre Algebra Worksheets Transindobalon Com
Free Worksheets For Linear Equations Grades 6 9 Pre Algebra
Year 8 Maths Worksheets Cazoom Maths Worksheets
Math Worksheets For 8th Grade Algebra 1 And 7th Grade Algebra
8th Grade Pre Algebra Worksheets
9th Grade Math Substitution Worksheet Printable Worksheets And
Free Printable Absolute Value Worksheet For Eighth Grade
8th Grade Math Worksheets Printable Sub Worksheets 8th On Best
Algebra Worksheets Free Printable Worksheets For Teachers And Kids
8th Grade Pre Algebra Equations
Solving Algebraic Equations Worksheets Absolute Value Grade 8 Math
Simplify The Expressions Worksheets
Free Worksheets For Linear Equations Grades 6 9 Pre Algebra
Worksheets Printable Worksheets 8th Grade Cheatslist Free
Distributive Property Worksheets Google Search Distributive
Linear Equations Worksheets Grade 8 Pdf Tessshebaylo
Worksheet Ideas Extraordinary 7th Grade Math Worksheets
Awesome Collection Of 8th Grade Pre Algebra Worksheets Image
8th Grade Math Review Worksheet Free Printable Educational Worksheet
Worksheet Ideas Solving Equations Worksheets Pdf 8th Grade
Math Worksheets For 8th Grade Algebra 1 And Printables Algebra
Letter Worksheets Subtracting Integers On Number Line Worksheet
Math Worksheets Pre Algebra Free Math Worksheets Addition And
Math 7 8 15 Week Pre Algebra Review Part I Worksheet For 7th 9th
8th Grade Worksheets Printable Worksheets And Activities For
Coloring Book Free Printable Math Sheets Worksheets For 4th
Single Variable Equation Worksheet 8 Worksheets
28 Math Worksheets For 7th Grade Algebra 7th Grade Math
Basic Algebra Practice Problems Part 1 Worksheet For 6th 8th
5th Grade Pre Algebra Worksheets
Free Pre Algebra Worksheets Printables With Answers
Pre Algebra Worksheets For 8th Graders 8th Grade Math Worksheets
7th And 8th Grade Worksheets Grade Common Core Math Worksheets
8th Grade Math Word Problems Worksheets
Algebra Solving Systems Of Equations Part 1 8th Grade Math
Reading Worskheets Free Printable Elementary Math Worksheets Star
13 7th Grade Algebra Worksheet Templates Free Word Pdf
Letter Worksheets Kids Worksheet Algebra Worksheets For 9th
As Much Expressions And Equations Worksheets 8th Grade
Coloring Pages Titanic Coloring Printable Sieve Math Input
Worksheet Ideas Pre Algebra Worksheets Image Ideas Worksheet
Algebraic Concepts Worksheet Printable Worksheets And Activities
Algebra 1 Worksheets Equations Worksheets
Another Study Questions State S Push For 8th Grade Algebra 19289
Free Printable Algebra Balancing Equations Worksheet
Reading Worskheets Addition Questions For Grade Number Worksheet
College Prep Algebra Worksheet Printable Worksheets And
8th Grade Math Word Problems Worksheets
9th Grade Geometry Worksheet Printable Printable Worksheets And
Probability Worksheets For Class 8 Class 8 Math Worksheets And
Printables Algebra 1 Worksheets With Answers 8th Grade Algebra 1
7th Grade 8th Grade Math Worksheets
Math Algebra Worksheets Grade 6 Printable Worksheets And
2nd Grade Math Worksheets 8th Grade Physics Quiz Free Printable
Mymcas Com Grade 8 Patterns And Algebra Quiz
Math Worksheets Free Printables Education Com
8th Grade Algebra Worksheets Teaching Resources Tpt
Can You Answer These Five 8th Grade Math Questions Correctly
Coloring Pages Free Coloring John The Baptist Deere Square Paper
8th Grade Algebra Equations Worksheets Tessshebaylo
Kindergarten Worksheets 8th Grade Algebra Worksheets Addition And
Activity Sheets For Year Olds Fun Addition Math Printable
Pre Algebra 7th Or 8th Grade Math Workbook Printed B W Plasti
8th Grade Algebra 1 Section 2 5 Worksheet Youtube
Math Algebra Questions Grade 8 Transindobalon Com
Algebra Worksheet New 31 Algebra Worksheets Collecting Like Terms
Combining Like Terms Printable Worksheets Lacocinamagica Net
Algebra 1 Worksheets Dynamically Created Algebra 1 Worksheets
Homeschool Printable Worksheets Kindergarten Madeua Net
Pre Algebra Printable Worksheets Lovetoknow
Algebra Grade 8 Algebra 8th Grade Math Worksheets
Help With Math Homework For 8th Grade History Homework Help
Grade 3 Evaluating Algebraic Expressions Worksheet 4 Kidschoolz
18 8th Grade Pre Algebra Learning Resources Learnamic
Solving Equations Worksheets Teaching Resources
English Worksheets 8th Grade Common Core Worksheets
Pre Algebra Worksheets Linear Functions Worksheets Slope
Letter Worksheets Reading Worksheets Free Printable 8th Grade














0 Response to "8th Grade Algebra Worksheets"
Post a Comment